题目内容
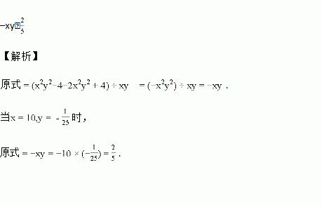
化简:[(xy+2)(xy﹣2)﹣2x2y2+4]÷xy,其中x=10,y=﹣
如图,某游客在山脚下乘览车上山.导游告知,索道与水平线成角∠BAC为40°,览车速度为60米/分,11分钟到达山顶,请根据以上信息计算山的高度BC.(精确到1米)(参考数据:sin40°=0.64,cos40°=0.77,tan40°=0.84)
陈老师和学生做一个猜数游戏,他让学生按照如下步骤进行计算:
①任想一个两位数a,把a乘以2,再加上9,把所得的和再乘以2;
②把a乘以2,再加上30,把所得的和除以2;
③把①所得的结果减去②所得的结果,这个差即为最后的结果.
陈老师说:只要你告诉我最后的结果,我就能猜出你最初想的两位数a.
学生周晓晓计算的结果是96,陈老师立即猜出周晓晓最初想的两位数是31.
请完成
(1)由①可列代数式 ,由②可列代数式 ,由③可知最后结果为 ;(用含a的式子表示)
(2)学生小明计算的结果是120,你能猜出他最初想的两位数是多少吗?
(3)请用自己的语言解释陈老师猜数的方法.
已知多项式-5x2a+1y2-x3y3+x4y.
(1)求多项式中各项的系数和次数;
(2)若多项式是7次多项式,求a的值.
如图,在等边三角形ABC中,点D,E分别在边BC,AC上,且DE∥AB,过点E作EF⊥DE,交BC的延长线于点F.
(1)求∠F的度数;
(2)若CD=2,求DF的长.
已知,,则______.
如图,在中,,的平分线交于点,若垂直平分,则的度数为( )
A. B. C. D.
若满足方程组的x与y互为相反数,则m的值为( )
A. 1 B. ﹣1 C. 11 D. ﹣11
在等式中,当时,;当时,;当时,则 ______ .