题目内容
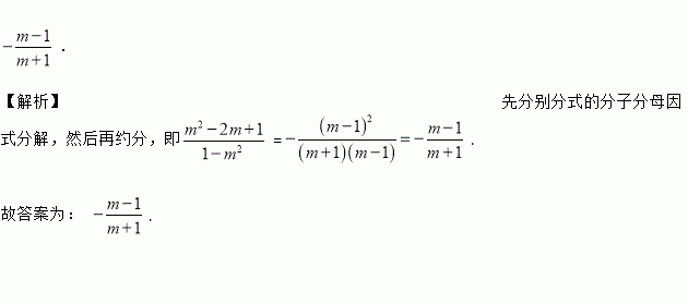
分式约分的结果是______.
在学校组织的实践活动中,小新同学用纸板制作了一个圆锥模型,它的底面半径为1,高为2,则这个圆锥的侧面积是( )
A. 3π B. 4π C. 2π D. 2π
先化简,再求值: ,其中x=﹣2.
反比例函数y=的图象,当x>0时,y随x的增大而减小,则k的取值范围( ).
A. k<2 B. k≤2 C. k>2 D. k≥2
如图,△ABC与△DCB中,AC与BD交于点E,且∠A=∠D,AB=DC.
(1)求证:△ABE≌△DCE;
(2)当∠AEB=50°,求∠EBC的度数?
分式:①,②,③,④中,最简分式有( )
A.1个 B.2个 C.3个 D.4个
下列图形中,不是轴对称图形的是( )
A. B. C. D.
如图,在数轴上表示1、的点分别为A、B,点B关于点A的对称点为C,则C点所表示的( ).
下列一组数: , , , , ,在这些数中最大的有理数与最小的无理数的差的结果是__________.