题目内容
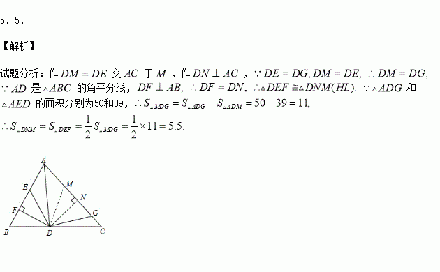
如图,AD是△ABC的角平分线,DF⊥AB,垂足为F,DE=DG,△ADG和△AED的面积分别为50和39,则△EDF的面积为 .
据探测,月球表面白天阳光垂直照射的地方温度高达127℃,而夜晚温度可降低到
零下183℃.根据以上数据推算,在月球上昼夜温差有 ℃
某地某天上午10时的气温是8℃,之后由于受冷空气影响,每小时气温下降2℃,那么这天下午3时的气温是_____℃.
-3的相反数是( )
A. B. -3 C. D. 3
“三月三,放风筝”,如图是小明同学制作的风筝,他根据AB=AD,CB=CD,不用度量,他就知道∠ABC=∠ADC,请你用学过的知识给予说明.
如图,正方形ABCD的边长为4cm,则图中阴影部分的面积为________.
把一张长方形纸片按如图①,图②的方式从右向左连续对折两次后得到图③,再在图③中挖去一个如图所示的三角形小孔,则重新展开后得到的图形是( )
A. B. C. D.
化简 =__.
已知关于的方程有两个实数根.
(1)求的取值范围;
(2)若方程的两实数根分别为, ,且,求的值.