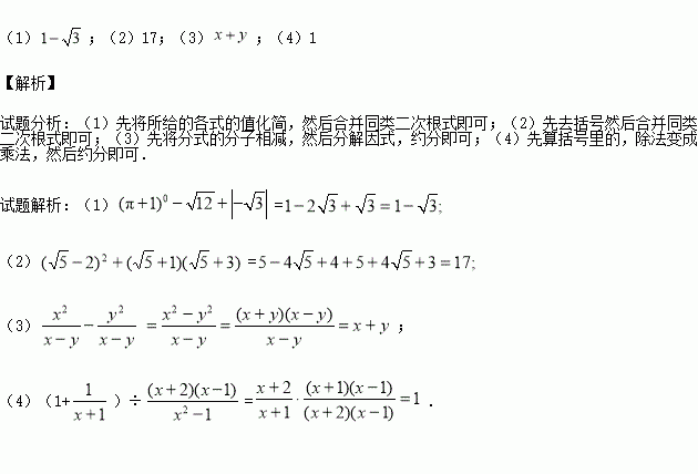
题目内容
计算:
(1)
(2)
(3)
(4)(1+)÷
能使分式方程有非负实数解且使二次函数的图像与轴无交点的所有整数的积为( ).
A.-20 B.20 C.-60 D.60
如图,点A(6,3)、B(6,0)在直角坐标系内.以原点O为位似中心,相似比为,在第一象限内把线段AB缩小后得到线段CD,那么点C的坐标为( )
A.(3,1) B.(2,0)
C.(3,3) D.(2,1)
如图,在平面直角坐标系中,一个点从A(a1,a2)出发沿图中路线依次经过B(a3,a4),C(a5,a6),D(a7,a8),…,按此一直运动下去,则a2015+a2016的值为 .
如图,有一块边长为6cm的正三角形纸板,在它的三个角处分别截去三个彼此全等的筝形,再沿图中的虚线折起,做成一个无盖的直三棱柱纸盒,则该纸盒侧面积的最大值是( )
A.cm2 B.cm2 C.cm2 D.cm2
下列分式中是最简分式的是( )
A. B. C. D.
如图,小明想测山高和索道的长度.他在 B 处仰望山顶 A,测得仰角∠B=31°,再往山的方向(水平方向)前进 80m 至索道口 C 处,沿索道方向仰望山顶,测得仰角∠ACE=39°.
(1)求这座山的高度(小明的身高忽略不计);
(2)求索道AC的长(结果精确到0.1m).
(参考数据:tan31°≈,sin31°≈,tan39°≈ ,sin39°≈)
如图,AB与⊙O相切于点B,AO的延长线交⊙O于点C,连接 BC,若∠A=36°,则∠C等于( )
A.36° B.54° C.60° D.27°
反比例函数在第一象限的图象如图所示,过点A(1,0)作x轴的垂线,交反比例函数的图象于点M,△AOM的面积为3.
(1)求反比例函数的解析式;
(2)设点B的坐标为(t,0),其中t>1.若以AB为一边的正方形有一个顶点在反比例函数的图象上,求t的值