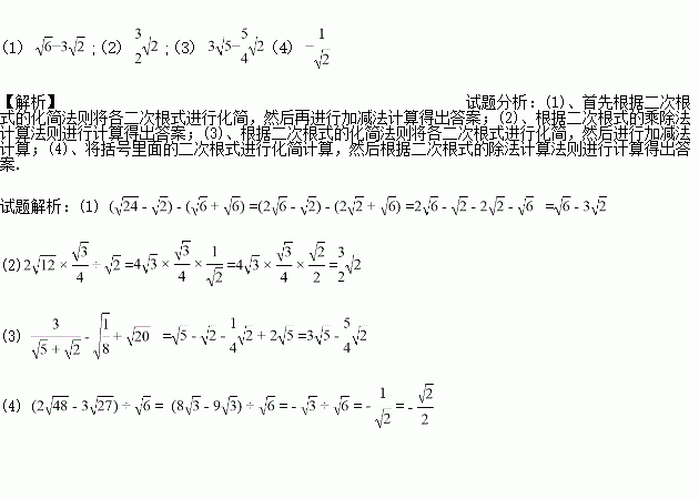
题目内容
计算:
(1)
(2)
(3)
(4)
用代数式表示:①甲数比乙数的2倍多4,设甲数为x,则乙数为_______;②甲数与乙数的和是10,设甲数为y,则乙数为________。
如图8,在中, , 于, 于D.
(1)求证:△ADC≌△CEB. (2) ,求BE的长度.
在△ABC中,∠B的平分线与∠C的平分线相交于O,且∠BOC=130°,则∠A=( )
A. 50° B. 60° C. 80° D. 100°
如图,一个梯子AB长2.5米,顶端A靠在墙AC上,这时梯子下端B与墙角C距离为1.5米,梯子滑动后停在DE的位置上,测得BD长为0.9米,则梯子顶端A下落了( )
A. 0.9米 B. 1.3米 C. 1.5米 D. 2米
计算:=______.
下列命题的逆命题是真命题的是( )
A. 若a=b,则a2=b2 B. 全等三角形的周长相等
C. 若a=0,则ab=0 D. 有两边相等的三角形是等腰三角形
如图,△ABC中,∠C=90º,AM平分∠CAB,CM=cm,AB=6cm,则△ABM的面积是________.
在平面直角坐标系中,抛物线与y轴的交点为A,与x轴的正半轴分别交于点B(b,0),C(c,0).
(1)当b=1时,求抛物线相应的函数表达式;
(2)当b=1时,如图,E(t,0)是线段BC上的一动点,过点E作平行于y轴的直线l与抛物线的交点为P.求△APC面积的最大值;
(3)当c =b+ n.时,且n为正整数.线段BC(包括端点)上有且只有五个点的横坐标是整数,求b的值.