题目内容
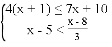
依据下列解方程
的过程,请在前面的括号内填写变形步骤,在后面的括号内填写变形依据.
【解析】
原方程可变形为
( )
去分母,得( )![]()
去括号,得( )![]()
( ),得( )![]()
合并同类项,得![]()
系数化为1,得
( )
练习册系列答案
相关题目
题目内容
依据下列解方程
的过程,请在前面的括号内填写变形步骤,在后面的括号内填写变形依据.
【解析】
原方程可变形为
( )
去分母,得( )![]()
去括号,得( )![]()
( ),得( )![]()
合并同类项,得![]()
系数化为1,得
( )