题目内容
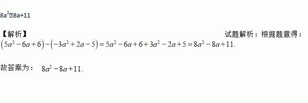
已知一个多项式与﹣3a2+2a﹣5的和等于5a2﹣6a+6,则这个多项式是_____.
在下列, ,0,1,2,3这6个数中任取一个数记作,放回去,再从这六个数中任意取一个数记作,则使得分式方程有整数解,且使得函数的图象经过第一三四象限的所有的值有( ).
A. 2个 B. 4个 C. 5个 D. 8个
如图,△ABC中,AB=AC=5,AB的垂直平分线DE交AB、AC于E、D.
(1)若△BCD的周长为8,求BC的长;
(2)若∠A=40°,求∠DBC的度数.
下列实数中,是无理数的为( )
A. 0 B. C. - D. 3.14
邮递员骑摩托车从邮局出发,先向东骑行3km到达A村,继续向东骑行4km到达B村,然后向西骑行12km到达C村,最后回到邮局.
(1)以邮局为原点,以向东方向为正方向,用1cm表示1km画出数轴,并在该数轴上表示出A,B,C三个村的位置;
(2)算出C村离A村多远;
(3)若摩托车每1千米耗油0.03升,这趟路共耗油多少升?
如图所示,点O在直线AB上,射线OC平分∠DOB.若∠COB=35°,则∠AOD等于( )
A. 110° B. 35° C. 70° D. 145°
-的相反数是( )
A. B. 2 C. -2 D. -
如图,在△ABC中,有一点P在直线AC上移动,若AB=AC=5,BC=6,则 BP的最小值为( )
A. B. 5 C. 4 D. 4.8
解方程:
(1)
(2)