题目内容
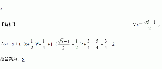
已知x=,则x2+x+1=________.
一个样本为1、3、2、2、a,b,c.已知这个样本的众数为3,平均数为2,那么这个样本的方差为( )
一群猴子结伴去偷桃,在分桃时;如果每只猴子分3个,那么还剩59个;如果每只猴子分5个,那么有一只猴子分得的桃不足5个,你能求出有多少只猴子,多少个桃吗?
下列式子:①2x-7≥-3;② ;③7<9;④x2+3x>1;⑤;
⑥m-n>3,其中是一元一次不等式的有 ( )
A. 1个 B. 2个 C. 3个 D. 4个
计算下列各题:
(1)( +)-(-);
(2) + (2+);
(3) ÷-2×+(2+)2;
(4)(2-)2017(2+)2018-|-|-(-)0.
要使二次根式有意义,则x的取值范围是( )
A. x≠3 B. x>3 C. x<3 D. x≥3
估计的运算结果应在( )
A. 6到7之间 B. 7到8之间 C. 8到9之间 D. 9到10之间
的相反数是___,绝对值是___.
若,则________