题目内容
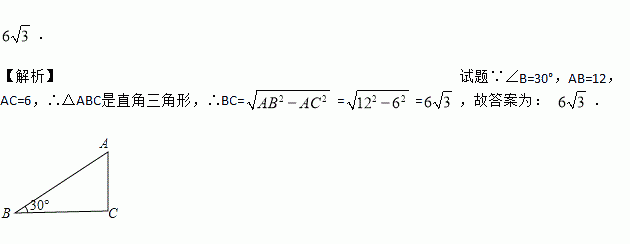
在△ABC中,∠B=30°,AB=12,AC=6,则BC= .
一次函数y1=﹣x+2,反比例函数y2= ,当y1<y2时,x的取值范围________.
先化简,再求值:(1﹣)÷,其中a=﹣1.
下面四个几何体中,左视图是四边形的几何体共有( )
A. 1个 B. 2个 C. 3个 D. 4个
计算:-12016-2tan60°+(-)0-.
如图,已知△ABC的三个顶点均在格点上,则cosA的值为( )
A. B. C. D.
(题文)若抛物线y=(x-m)2+(1-m)的顶点在第一象限,则m的取值范围为( )
A. m>0 B. m>1 C. -1<m<0 D. 0<m<1
单项式的次数_______.
如图,一直线与两坐标轴的正半轴分别交于A,B两点,P是线段AB上任意一点(不包括端点),过点P分别作两坐标轴的垂线与两坐标轴围成的长方形的周长为10,则该直线的函数表达式是( )
A. y=x+5 B. y=x+10 C. y=-x+5 D. y=-x+10