题目内容
已知抛物线y=ax2+bx+c(a>0)的图象经过点B(12,0)和C(0,-6),对称轴为x=2.(1)求该抛物线的解析式;
(2)点D在线段AB上且AD=AC,若动点P从A出发沿线段AB以每秒1个单位长度的速度匀速运动,同时另一动点Q以某一速度从C出发沿线段CB匀速运动,问是否存在某一时刻,使线段PQ被直线CD垂直平分?若存在,请求出此时的时间t(秒)和点Q的运动速度;若不存在,请说明理由;
(3)在(2)的结论下,直线x=1上是否存在点M,使△MPQ为等腰三角形?若存在,请求出所有点M的坐标;若不存在,请说明理由.
【答案】分析:(1)由题意抛物线y=ax2+bx+c(a>0)的图象经过点B(12,0)和C(0,-6),对称轴为x=2,根据待定系数法可以求得该抛物线的解析式;
(2)假设存在,设出时间t,则根据线段PQ被直线CD垂直平分,再由垂直平分线的性质及勾股定理来求解t,看t是否存在;
(3)假设直线x=1上是存在点M,使△MPQ为等腰三角形,此时要分两种情况讨论:①当PQ为等腰△MPQ的腰时,且P为顶点;②当PQ为等腰△MPQ的腰时,且Q为顶点;然后再根据等腰三角形的性质及直角三角形的勾股定理求出M点坐标.
解答:
解:(1)方法一:∵抛物线过C(0,-6)
∴c=-6,即y=ax2+bx-6
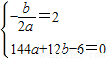
由
解得:a=
,b=-
∴该抛物线的解析式为y=
(3分)
方法二:∵A、B关于x=2对称
∴A(-8,0)
设y=a(x+8)(x-12)
C在抛物线上
∴-6=a×8×(-12)
即a=
∴该抛物线的解析式为:y=
;(3分)
(2)存在,设直线CD垂直平分PQ,
在Rt△AOC中,AC=
=10=AD,
∴点D在对称轴上,连接DQ,显然∠PDC=∠QDC (1分)
由已知∠PDC=∠ACD,
∴∠QDC=∠ACD,
∴DQ∥AC (1分)
∴DB=AB-AD=20-10=10,
∴DQ为△ABC的中位线,
∴DQ=
AC=5,(1分)
∴AP=AD-PD=AD-DQ=10-5=5,
∴t=5÷1=5(秒),
∴存在t=5(秒)时,线段PQ被直线CD垂直平分(1分)
在Rt△BOC中,BC=
,
而DQ为△ABC的中位线,
∴CQ=3
,
∴点Q的运动速度为每秒
单位长度;(1分)
(3)存在,过点Q作QH⊥x轴于H,则QH=3,PH=9
在Rt△PQH中,PQ=
(1分)
①当MP=MQ,即M为顶点,
设直线CD的直线方程为:y=kx+b(k≠0),
则:
解得:
∴y=3x-6
当x=1时,y=-3,
∴M1(1,-3)(1分)
②当PQ为等腰△MPQ的腰时,且P为顶点.
设直线x=1上存在点M(1,y),
则OP=3,点M的横坐标为1,纵坐标为y,根据勾股定理得PM22=42+y2,
又PQ2=90,
则42+y2=90,
即
∴M2(1,
),
(1分)
③当PQ为等腰△MPQ的腰时,且Q为顶点,
过点Q作QE⊥y轴于E,交直线x=1于F,则F(1,-3)
设直线x=1存在点M(1,y),由勾股定理得:
(y+3)2+52=90即y=-3
∴
(1分)
综上所述:存在这样的五点:
M1(1,-3),M2(1,
),

.
点评:此题是一道综合题,难度较大,主要考查二次函数的性质,用待定系数法求函数的解析式,还考查等腰三角形的性质及勾股定理,同时还让学生探究存在性问题,对待问题要思考全面,学会分类讨论的思想.
(2)假设存在,设出时间t,则根据线段PQ被直线CD垂直平分,再由垂直平分线的性质及勾股定理来求解t,看t是否存在;
(3)假设直线x=1上是存在点M,使△MPQ为等腰三角形,此时要分两种情况讨论:①当PQ为等腰△MPQ的腰时,且P为顶点;②当PQ为等腰△MPQ的腰时,且Q为顶点;然后再根据等腰三角形的性质及直角三角形的勾股定理求出M点坐标.
解答:
∴c=-6,即y=ax2+bx-6
由
解得:a=
∴该抛物线的解析式为y=
方法二:∵A、B关于x=2对称
∴A(-8,0)
设y=a(x+8)(x-12)
C在抛物线上
∴-6=a×8×(-12)
即a=
∴该抛物线的解析式为:y=
(2)存在,设直线CD垂直平分PQ,
在Rt△AOC中,AC=
∴点D在对称轴上,连接DQ,显然∠PDC=∠QDC (1分)
由已知∠PDC=∠ACD,
∴∠QDC=∠ACD,
∴DQ∥AC (1分)
∴DB=AB-AD=20-10=10,
∴DQ为△ABC的中位线,
∴DQ=
∴AP=AD-PD=AD-DQ=10-5=5,
∴t=5÷1=5(秒),
∴存在t=5(秒)时,线段PQ被直线CD垂直平分(1分)
在Rt△BOC中,BC=
而DQ为△ABC的中位线,
∴CQ=3
∴点Q的运动速度为每秒
(3)存在,过点Q作QH⊥x轴于H,则QH=3,PH=9
在Rt△PQH中,PQ=
①当MP=MQ,即M为顶点,
设直线CD的直线方程为:y=kx+b(k≠0),
则:
解得:
∴y=3x-6
当x=1时,y=-3,
∴M1(1,-3)(1分)
②当PQ为等腰△MPQ的腰时,且P为顶点.
设直线x=1上存在点M(1,y),
则OP=3,点M的横坐标为1,纵坐标为y,根据勾股定理得PM22=42+y2,
又PQ2=90,
则42+y2=90,
即
∴M2(1,
③当PQ为等腰△MPQ的腰时,且Q为顶点,
过点Q作QE⊥y轴于E,交直线x=1于F,则F(1,-3)
设直线x=1存在点M(1,y),由勾股定理得:
(y+3)2+52=90即y=-3
∴
综上所述:存在这样的五点:
M1(1,-3),M2(1,
点评:此题是一道综合题,难度较大,主要考查二次函数的性质,用待定系数法求函数的解析式,还考查等腰三角形的性质及勾股定理,同时还让学生探究存在性问题,对待问题要思考全面,学会分类讨论的思想.
练习册系列答案
相关题目