题目内容
正方形ABCD边长为4,M、N分别是BC、CD上的两个动点,当M点在BC上运动时,保持AM和MN垂直.(1)证明:Rt△ABM∽Rt△MCN;
(2)设BM=x,梯形ABCN的面积为y,求y与x之间的函数关系式;当M点运动到什么位置时,四边形ABCN的面积最大,并求出最大面积;
(3)当M点运动到什么位置时Rt△ABM∽Rt△AMN,求此时x的值.
【答案】分析:(1)要证三角形ABM和MCN相似,就需找出两组对应相等的角,已知了这两个三角形中一组对应角为直角,而∠BAM和∠NMC都是∠AMB的余角,因此这两个角也相等,据此可得出两三角形相似.
(2)根据(1)的相似三角形,可得出AB,BM,MC,NC的比例关系式,已知了AB=4,BM=x,可用BC和BM的长表示出CM,然后根据比例关系式求出CN的表达式.这样直角梯形的上下底和高都已得出,可根据梯形的面积公式得出关于y,x的函数关系式.然后可根据函数的性质得出y的最大值即四边形ABCN的面积的最大值,以及此时对应的x的值,也就可得出BM的长.
(3)已知了这两个三角形中相等的对应角是∠ABM和∠AMN,如果要想使Rt△ABM∽Rt△AMN,那么两组直角边就应该对应成比例,即
,根据(1)的相似三角形可得出
,因此BM=MC,M是BC的中点.即x=2.
解答:(1)证明:在正方形ABCD中,AB=BC=CD=4,∠B=∠C=90°,
∵AM⊥MN,
∴∠AMN=90°,
∴∠CMN+∠AMB=90°.
在Rt△ABM中,∠MAB+∠AMB=90°,
∴∠CMN=∠MAB,
∴Rt△ABM∽Rt△MCN.
(2)解:∵Rt△ABM∽Rt△MCN,
∴
,即
,
∴
,
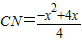
∴y=S梯形ABCN=
(
+4)•4
=-
x2+2x+8
=-
(x-2)2+10,
当x=2时,y取最大值,最大值为10.
(3)解:∵∠B=∠AMN=90°,
∴要使△ABM∽△AMN,必须有
,
由(1)知
,
∴
=
,
∴BM=MC,
∴当点M运动到BC的中点时,△ABM∽△AMN,此时x=2.
点评:本题主要考查了相似三角形的判定和性质以及二次函数的综合应用,根据相似三角形得出与所求的条件相关的线段成比例是解题的关键.
(2)根据(1)的相似三角形,可得出AB,BM,MC,NC的比例关系式,已知了AB=4,BM=x,可用BC和BM的长表示出CM,然后根据比例关系式求出CN的表达式.这样直角梯形的上下底和高都已得出,可根据梯形的面积公式得出关于y,x的函数关系式.然后可根据函数的性质得出y的最大值即四边形ABCN的面积的最大值,以及此时对应的x的值,也就可得出BM的长.
(3)已知了这两个三角形中相等的对应角是∠ABM和∠AMN,如果要想使Rt△ABM∽Rt△AMN,那么两组直角边就应该对应成比例,即
解答:(1)证明:在正方形ABCD中,AB=BC=CD=4,∠B=∠C=90°,
∵AM⊥MN,
∴∠AMN=90°,
∴∠CMN+∠AMB=90°.
在Rt△ABM中,∠MAB+∠AMB=90°,
∴∠CMN=∠MAB,
∴Rt△ABM∽Rt△MCN.
(2)解:∵Rt△ABM∽Rt△MCN,
∴
∴
∴y=S梯形ABCN=
=-
=-
当x=2时,y取最大值,最大值为10.
(3)解:∵∠B=∠AMN=90°,
∴要使△ABM∽△AMN,必须有
由(1)知
∴
∴BM=MC,
∴当点M运动到BC的中点时,△ABM∽△AMN,此时x=2.
点评:本题主要考查了相似三角形的判定和性质以及二次函数的综合应用,根据相似三角形得出与所求的条件相关的线段成比例是解题的关键.
练习册系列答案
相关题目
| AC |
| A、(4-π)cm2 |
| B、(8-π)cm2 |
| C、(2π-4)cm2 |
| D、(π-2)cm2 |