题目内容
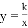
小聪和小明分别从相距30公里的甲、乙两地同时出发相向而行,小聪骑摩托车到达乙地后立即返回甲地,小明骑自行车从乙地直接到达甲地,函数图象y1(km)和y2(km)分别表示小聪离甲地的距离和小明离乙地的距离与已用时间t(h)之间的关系,如图所示.下列说法:①折线段OAB是表示小聪的函数图象y1,线段OC是表示小明的函数图象y2;②小聪去乙地和返回甲地的平均速度相同;③两人在出发80分钟后第一次相遇;④小明骑自行车的平均速度为15km/h,其中不正确的个数为( )
![]()
A. 0个 B. 1个 C. 2个 D. 3个
练习册系列答案
相关题目
某学校举行广播操比赛,比赛打分包括以下几项:服装统一、进退场有序、动作规范、动作整齐(每项满分10分),已知八年级二班的各项得分如下表:
项 目 | 服装统一 | 进退场有序 | 动作规范 | 动作整齐 |
得分(单位:分) | 10 | 9 | 8 | 8 |
如果将服装统一、进退场有序、动作规范、动作整齐这四项得分一次按10%,20%,30%,40%的比例计算比赛成绩,那么八年级二班这次比赛的成绩为_______ .