题目内容
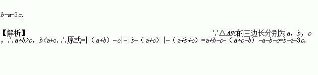
已知△ABC的三边长分别为a,b,c,化简:|a+b-c|-|b-a-c|-|a+b+c|.
实数、在数轴上的位置如右图所示,则化简的结果为 ( )
A. 3b B. -2a-b C. 2a +b D. b
在计算代数式(2x2+ax-5y+b)-(2bx2-3x+5y-1)的值时,某同学把“x=-,y=1” 误写成“x=, y=1”,但其计算结果也是正确的,请你分析原因,并在此条件下计算-[-7a2-5a+(2a2-3a)+2a] -4a2的值.
下列计算中,正确的是( )
A. ﹣5a+2a=﹣3a B. 2x﹣6x+5x=1 C. a5+a2=a7 D. 3a+2b=5ab
如图,在六边形ABCDEF中,AF∥CD,AB∥DE,且∠A=120°,∠B=80°.求∠C和∠D的度数.
如图11-9,直线l∥m,∠1=120°,∠A=55°,则∠ACB的度数是____.
如图,在△ABC中,∠B=46°,∠C=54°,AD平分∠BAC,交BC于D,DE∥AB,交AC于E,则∠ADE的大小是( )
A. 45° B. 54° C. 40° D. 50°
若是关于的方程的解,则_______.
(题型三)已知一个多边形的每个外角都相等,一个内角与其外角的度数之比为9∶2,则这个多边形的边数为_____.