题目内容
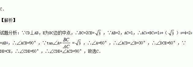
如图,△ABC中,E为BC边的中点,CD⊥AB,AB=2,AC=1,DE=,则∠CDE+∠ACD=( )
A.60° B.75° C.90° D.105°
一组数据2,3,5,4,4的中位数和平均数分别是( )
A.4和3.5 B.4和3.6 C.5和3.5 D.5和3.6
已知:如图,在平面直角坐标系中,等边的边长为6,点在边上,点在边上,且.反比例函数的图象恰好经过点和点.则的值为 ( )
A. B. C. D.
已知关于x的不等式组恰好有两个整数解,求实数a的取值范围.
分式方程的解为 .
地球绕太阳公转的速度约为110000km/h,则110000用科学记数法可表示为( )
A.0.11×106 B.1.1×105 C.0.11×105 D.1.1×106
某校组织“大手拉小手,义卖献爱心”活动,购买了黑白两种颜色的文化衫共140件,进行手绘设计后了出售,所获利润全部捐给山区困难孩子.每件文化衫的批发价和零售价如下表:
假设文化衫全部售出,共获利1860元,求黑白两种文化衫各多少件?
﹣2017的相反数是( )
A.﹣2017 B.2017 C. D.
已知从n个人中,选出m个人按照一定的顺序排成一行,所有不同的站位方法有n×(n-1)×…×(n-m+1)种.现某校九年级甲、乙、丙、丁4名同学和1位老师共5人在毕业前合影留念(站成一行),若老师站在中间,则不同的站位方法有( )
A.6种 B.20种 C.24种 D.120种