题目内容
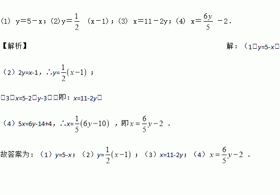
用含有x或y的式子表示y或x:
(1)已知x+y=5,则y= ;
(2)已知x-2y=1,则y= ;
(3)已知x+2(y-3)=5,则x= ;
(4)已知2(3y-7)=5x-4,则x= .
如图,小明想把一长为,宽为的长方形硬纸片做成一个无盖的长方体盒子,于是在长方形纸片的四个角各剪去一个相同的小正方形.
()若设小正方形的边长为,求图中阴影部分的面积.
()当时,求这个盒子的体积.
2cos30°= .
已知是方程组的解,求a,b的值.
用代入法解下列方程组:
(1)
(2)
(3)
(4)
如图,在△ABC中,D为BC上一点,且AB=5,BD=3,AD=4,且△ABC的周长为18,求AC的长和△ABC的面积.
一直角三角形三边长分别为a,a,c,那么由an,an,cn(n为自然数为三边组成的三角形一定是( )
A. 等腰三角形 B. 等腰直角三角形 C. 钝角三角形 D. 任意三角形
下列运用平方差公式计算,错误的是( ).
A. B.
C. D.
一个正方体的平面展开图如图,每一个面都有一个汉字,则在该正方体中和“实”字相对的汉字是( )
A. 我 B. 的 C. 梦 D. 想