题目内容
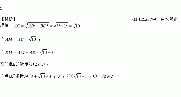
(2012贵州黔东南)如图,矩形ABCD中,AB=3,AD=1,AB在数轴上,若以点A为圆心,对角线AC的长为半径作弧,交数轴的正半轴于M,则点M的坐标为( )
![]()
A.(2,0)
B.(
,0)
C.(
,0)
D.(
,0)
练习册系列答案
相关题目
题目内容
(2012贵州黔东南)如图,矩形ABCD中,AB=3,AD=1,AB在数轴上,若以点A为圆心,对角线AC的长为半径作弧,交数轴的正半轴于M,则点M的坐标为( )
![]()
A.(2,0)
B.(
,0)
C.(
,0)
D.(
,0)