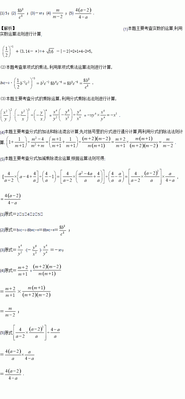
题目内容
计算:
(1) +(3.14-π)0+-|-2|; (2)b2c-2·;
(3) ; (4) ;
(5) .
比较大小: _______ 。
阅读下列解题过程:
请回答下列问题:
(1)、观察上面的解题过程,请直接写出式子: (n≥2)
(2)、利用上面所提供的解法,请化简:
已知x,y为实数,且,则x-y的值为( ).
A. 3 B. -3 C. 1 D. -1
观察下列等式:
=1-, =-, =-.
将以上三个等式的两边分别相加,得:
++=1-+-+-=1-=.
(1)直接写出计算结果:
+++…+=________.
(2)仿照=1-, =-, =-的形式,猜想并写出: =________.
(3)解方程: .
当=____________时, 的值互为倒数.
已知a2-3a+1=0,则分式的值是( )
A. 3 B. C. 7 D.
若, 则=______
列四个数中,在-3到0之间的数是( )
A. -2.8 B. -3.14 C. -4 D. -4.13