题目内容
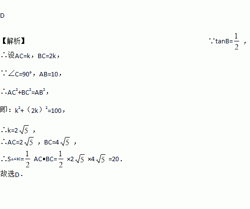
在中, ,则
A. 30 B. 40 C. D. 20
探究题:
(1)三条直线相交,最少有__________个交点,最多有__________个交点,分别画出图形,并数出图形中的对顶角和邻补角的对数;
(2)四条直线相交,最少有__________个交点,最多有__________个交点,分别画出图形,并数出图形中的对顶角和邻补角的对数;
(3)依次类推,n条直线相交,最少有__________个交点,最多有__________个交点,对顶角有__________对,邻补角有__________对.
下列投影中,是平行投影的是
A. B.
C. D.
如图所示,在ΔABC中,∠ACB是钝角,让点C在射线BD上向右移动,则 ( )
A. ΔACB将变为锐角三角形,而不会再是钝角三角形
B. ΔACB将先变为直角三角形,然后再变为锐角三角形,而不会再是钝角三角形
C. ΔACB将先变为直角三角形,然后变为锐角三角形,接着又由锐角三角形变为钝角三角形
D. ΔACB先由钝角三角形变为直角三角形,再变为锐角三角形,接着又变为直角三角形,然后再次变为钝角三角形
在中, ,则 ______ .
在,则
A. B. C. D.
小明骑自行车从家去学校,途径装有红、绿灯的三个路口.假设他在每个路口遇到红灯和绿灯的概率均为,则小明经过这三个路口时,恰有一次遇到红灯的概率是多少?请用画树状图的方法加以说明.
已知M(2)=(-2)×(-2),
M(3)=(-2)×(-2)×(-2),
…,
M(n)= .
(1)计算:M(5)+M(6);
(2)求2M(2 016)+M(2 017)的值;
(3)说明2M(n)与M(n+1)互为相反数.
(-2)4×(-2)3 等于( )
A. (-2)12 B. 4×(-2) C. (-2)7 D. 12×(-2)