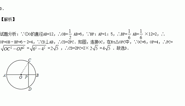
题目内容
如图,⊙O的直径 AB=12,CD 是⊙O 的弦,CD⊥AB于P,且 BP :AP=1 :5,则CD 的长为( )
A. B. C. D.
如图,在△ABC中,∠ABC=45°,F是高线AD和BE的交点,CD=4,则线段DF的长为( )
A. 2 B. 4 C. 3 D. 4
两个有理数的和为5,其中一个加数是-7,那么另一个加数是 .
(4分)如图是一个古代车轮的碎片,小明为求其外圆半径,连接外圆上的两点A、B,并使AB与车轮内圆相切于点D,半径为OC⊥AB交外圆于点C.测得CD=10cm,AB=60cm,则这个车轮的外圆半径是 .
某市某居民区一处圆形下水管道破裂,修理人员准备更换一段新管道.如图所示,污水水面宽度为60 cm,水面至管道顶的距离为10 cm,则修理人员准备更换的新管道的内径为___________.
如图,一架长为米的梯子斜靠在与地面垂直的墙面上,梯子的底端 距离墙面的距离为米.
(1)求梯子的顶端与地面的距离;
(2)若梯子的顶端下滑1米到点,求梯子的底端向右滑到点的距离.
若恰好是某一个多项式的平方,那么实数的值是_________.
一本小说共m页,一位同学第一天看了全书的少6页,第二天看了剩下的多6页,第三天把剩下的全部看完,该同学第三天看了多少页?若m=800,则第三天看了多少页?
用“”或“”连接: ______.