题目内容


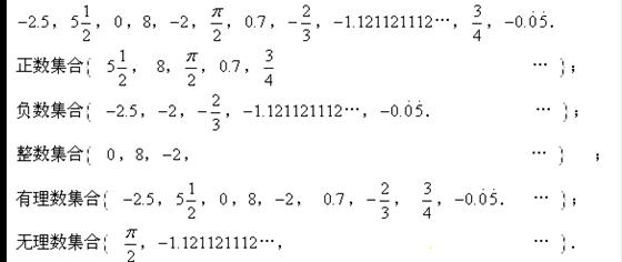
将下列各数填入相应的括号里:

,8,…,.

正数集合                                         …

负数集合                                         …

整数集合                                         …

有理数集合                                       …

无理数集合                                       ….

练习册系列答案
相关题目

违法和不良信息举报电话:027-86699610 举报邮箱:58377363@163.com

精英家教网