题目内容
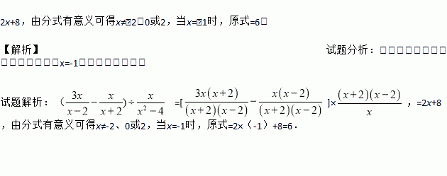
先化简,再求值.其中x是﹣2、﹣1、0、2中的一个.
将a中根号外的a移到根号内,结果是( )
A. - B. C. D.
如果是完全平方式,则k的值可能是( )
A. 10 B. C. D.
已知关于x的不等式组的解集为3≤x<5,则a,b的值分别为( )
A. -3,6 B. 6,-3 C. 1,2 D. 0,3
为了帮助遭受自然灾害的地区重建家园,某学校号召同学们自愿捐款.已知第一次捐款总额为4800元,第二次捐款总额为5000元,第二次捐款人数比第一次多20人,而且两次人均捐款额恰好相等,求第一次捐款的人数.
化简的结果是__________ .
对于非零实数a、b,规定a?b=.若2?(2x﹣1)=1,则x的值为( )
A. B. C. D. ﹣
如图,在ABCD中,E、F分别是AB、DC边上的点,AF与DE相交于点P,BF与CE相交于点Q,若S△APD=16cm2,S△BQC=25cm2,则图中阴影部分的面积为__cm2.
如图,⊙O是△ABC的外接圆,连接OA、OB,∠OBA=50°,则∠C的度数为( )
A. 30° B. 40° C. 50° D. 80°