题目内容
化简:
(1) (2) (3)(4)(5)(6)(7).
已知关于的一元二次方程有一根是,则________.
蜗牛从某点开始沿一东西方向直线爬行,规定向东爬行的路程记为正数,向西爬行的路程记为负数.爬过的各段路程依次为 (单位:厘米):,,,,,,.
通过计算说明蜗牛是否回到起点.
蜗牛离开出发点最远时是多少厘米?
在爬行过程中,如果每爬厘米奖励粒芝麻,则蜗牛一共得到多少粒芝麻?
下列说法正确的是( )
A. 单项式是整式,整式也是单项式
B. 与是同类项
C. 单项式的系数是,次数是
D. 是一次二项式
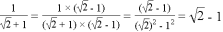
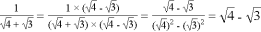
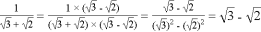
阅读下列解题过程:
;;.
请回答下列问题:
观察上面的解题过程,请直接写出式子________;为整数,且
利用上面所提供的解法,请化简的值.
若是整数,则满足条件的最小正整数为________.
下列根式中属于最简二次根式的是( )
A. B. C. D.
如图所示,点P为∠AOB内一点,分别作出P点关于OA、OB的对称点P1,P2,连接P1P2交OA于M,交OB于N,P1P2=15,则△PMN的周长为_____.
化简的结果是( )