题目内容
已知4x2+y2 -4x-6y+10=0,求
的值.
【答案】![]()
【解析】试题分析:先求出x、y的值,然后化简二次根式,合并同类二次根式,最后把x、y的值代入即可.
试题解析:解:
,∴
,∴2x-1=0,y-3=0,∴x=
,y=3.
原式=
= ![]()
当x=
,y=3时,原式=
=
.
【题型】解答题
【结束】
23
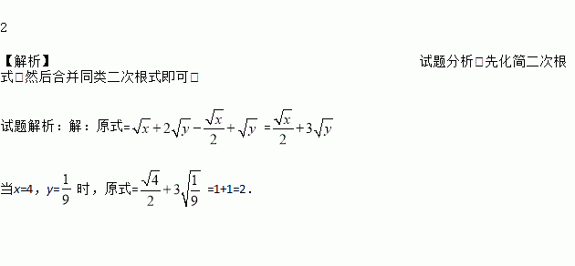
化简求值:
,其中
,
.
练习册系列答案
相关题目
题目内容
已知4x2+y2 -4x-6y+10=0,求
的值.
【答案】![]()
【解析】试题分析:先求出x、y的值,然后化简二次根式,合并同类二次根式,最后把x、y的值代入即可.
试题解析:解:
,∴
,∴2x-1=0,y-3=0,∴x=
,y=3.
原式=
= ![]()
当x=
,y=3时,原式=
=
.
【题型】解答题
【结束】
23
化简求值:
,其中
,
.