题目内容
下列计算正确的是( )
A. 2a2﹣a2=2 B. (-a)6÷(﹣a)2=(-a)3 C. (a+b)2=a2+b2 D. 2a﹣1=
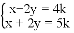
己知关于x,y的方程组的解满足3x+2y=28,则k的值为( ) .
A. 1 B. 2 C. D. 5
已知菱形的两条对角线分别为6cm和8cm,则这个菱形的高为________.
(1)化简:(+)÷
(2)解不等式组:并写出不等式组所有的整数解.
如图,P为⊙O外一点,PA、PB分别切⊙O于A、B两点,OP交⊙O于点C,连接BO并延长交⊙O于点D,交PA的延长线于点E,连接AD、BC.下列结论:①AD∥PO;②△ADE∽△PCB;③tan∠EAD=;④BD2=2AD•OP.其中一定正确的是( )
A. ①③④ B. ②④ C. ①②③ D. ①②③④
如图,点E是的边AC的反向延长线上一点,于点D,于点G,.
请问:AD平分吗?请说明理由.
将一长方形纸片如图所示的方式折叠后,再展开,若,则 ______ .
进入防汛期后,某地对河堤进行了加固.该地驻军在河堤加固的工程中出色地完成了任务,这是记者与驻军工程指挥官的一段对话:
记者:你们是怎样用9天时间完成4800米长的大坝加固任务呢?
指挥官:我们在加固600米后,采用新的加固模式,这样每天加固长度是原来的2倍.
通过这段对话,请你求出该地驻军原来每天加固多少米?
如图,把边长为1的正方形ABCD绕顶点A逆时针旋转30°到正方形AB′C′D′,则它们的公共部分的面积等于( )
A. B. C. D.