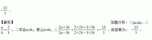
题目内容
已知:3a=2b,那么=______.
下列式子为最简二次根式的是( )
A. B. C. D.
下列实数, , , , 中,无理数的个数是( )
A. 2个 B. 3个 C. 4个 D. 5个
我国实施的“一带一路”战略方针,惠及沿途各国.中欧班列也已融入其中.从我国重庆开往德国的杜伊斯堡班列,全程约11025千米.同样的货物,若用轮船运输,水路路程是铁路路程的1.6倍,水路所用天数是铁路所用天数的3倍,列车平均日速(平均每日行驶的千米数)是轮船平均日速的2倍少49千米.分别求出列车及轮船的平均日速.
若非0有理数a使得关于x的分式方程无解,则________.
小军家距学校5千米,原来他骑自行车上学,学校为保障学生安全,新购进校车接送学生,若校车速度是他骑车速度的2倍,现在小军乘校车上学可以从家晚10分钟出发,结果与原来到校时间相同.设小军骑车的速度为x千米/小时,则所列方程正确的为( )
A. B.
C. D.
若分式的值为0,则x的值为( )
A. 0 B. 1 C. -1 D.
如图,已知AB∥DC,要使四边形ABCD是平行四边形,还需增加条件________.(只填写一个条件即可,不再在图形中添加其它线段).
如图,在Rt△ABC中,∠C=90°,AD平分∠CAB,DE⊥AB于点E,AC=6,BC=8,CD=3.
求:(1)DE的长;
(2)△ADB的面积.