题目内容
若a满足不等式组,且关于x的一元二次方程(a﹣2)x2﹣(2a﹣1)x+a+=0有实数根,则满足条件的实数a的所有整数和为( )
A. ﹣2 B. ﹣1 C. ﹣3 D. 0
某地一天的最高气温是12℃,最低气温是2℃,则该地这天的温差是( )
A. ﹣10℃ B. 10℃ C. 14℃ D. ﹣14℃
在同一坐标系下,抛物线y1=﹣x2+4x和直线y2=2x的图象如图所示,那么不等式﹣x2+4x>2x的解集是( )
A. x<0 B. 0<x<2 C. x>2 D. x<0或 x>2
如图,在四边形ABCD中,AB=AD=6,AB⊥BC,AD⊥CD,∠BAD=60°,点M、N分别在AB、AD边上,若AM:MB=AN:ND=1:2,则tan∠MCN=
现在网购越来越多地成为人们的一种消费方式,刚刚过去的2015年的“双11”网上促销活动中,天猫和淘宝的支付交易额突破67000000000元,将67000000000元用科学记数法表示为_____.
某中学排球队12名队员的年龄情况如下表:
年龄(岁)
12
13
14
15
人数(人)
1
2
5
4
则这个排球队的队员年龄的众数是( )
A. 12岁 B. 13岁
C. 14岁 D. 15岁
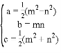
阅读:能够成为直角三角形三条边长的三个正整数a,b,c,称为勾股数.世界上第一次给出勾股数通解公式的是我国古代数学著作《九章算术》,其勾股数组公式为: 其中m>n>0,m,n是互质的奇数.
应用:当n=1时,求有一边长为5的直角三角形的另外两条边长.
如图一枚骰子抛掷三次,得三种不同的结果,则写有“?”一面上的点数是( )
A. 1 B. 2 C. 3 D. 6
由小到大排列的一组数据x1,x2,x3,x4,x5,其中每个数据都小于-1,则1,x1,-x2,x3,-x4,x5的中位数是 .