题目内容
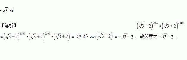
计算:
=_________________。
练习册系列答案
相关题目
弹簧挂上物体后会伸长,已知一弹簧的长度(cm)与所挂物体的重量(kg)之间的关系如下表:
所挂物体的重量(kg) | 0 | 1 | 2 | 3 | 4 | 5 | 6 | 7 |
弹簧的长度(cm) | 12 | 12.5 | 13 | 13.5 | 14 | 14.5 | 15 | 15.5 |
(1)当所挂物体的重量为3kg时,弹簧的长度是_____________cm;
(2)如果所挂物体的重量为xkg,弹簧的长度为ycm,根据上表写出y与x的关系式;
(3)当所挂物体的重量为5.5kg时,请求出弹簧的长度。
(4)如果弹簧的最大伸长长度为20cm,则该弹簧最多能挂多重的物体?
气温y(℃)随高度x(km)的变化而变化的情况如下表,由表可知,气温y随着高度x的增大而( )
高度x/km | 0 | 1 | 2 | 3 | 4 | 5 | 6 | 7 | 8 |
气温y/℃ | 28 | 22 | 16 | 10 | 4 | -2 | -8 | -14 | -20 |
A. 升高 B. 降低 C. 不变 D. 以上答案都不对