题目内容
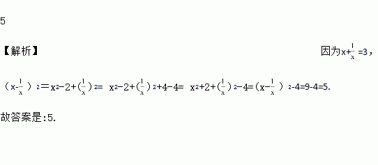
若x+=3,分式(x-)2=________.
把多项式分解因式的结果是______.
甲、乙两个商场出售相同的某种商品,每件售价均为3000元,并且多买都有一定的优惠.甲商场的优惠条件是:第一件按原售价收费,其余每件优惠30%;乙商场的优惠条件是:每件优惠25%.设所买商品为x件时,甲商场收费为y1元,乙商场收费为y2元.
(1)分别求出y1,y2与x之间的关系式;
(2)当甲、乙两个商场的收费相同时,所买商品为多少件?
(3)当所买商品为5件时,应选择哪个商场更优惠?请说明理由.
在Rt△ABC中,∠C=90°,∠A=30°,BC=3,则AC的长为_____.(结果保留根号)
把多项式﹣16x3+40x2y提出一个公因式﹣8x2后,另一个因式是__.
已知(a+b)2=(a-b)2+A,则A为( )
A、2ab B、-2ab C、4ab D、-4ab
若多项式﹣6ab+18abc+24ab2的一个因式是﹣6ab,则其余的因式是( )
A. 1﹣3c﹣4b B. ﹣1﹣3c+4b C. 1+3c﹣4b D. ﹣1﹣3c﹣4b
如图,菱形ABCD的边长是2cm,E是AB的中点,且DE丄AB,则菱形ABCD的面积为 cm2.
下列各数中,比-1小的数是( )
A. 0 B. 0.5 C. -0.5 D. -2