题目内容
已知一次函数y=kx+b的图象与
反比例函数的图象交于A(-2,1),B(1,n)两点。
(1)求反比例函数的解析式和B点的坐标;
(2)在同一直角坐标系中画出这两个函数的图象的示意图,并观察图象回答:当x为何值时,一次函数的值大于反比例函数的值?
(1)求反比例函数的解析式和B点的坐标;
(2)在同一直角坐标系中画出这两个函数的图象的示意图,并观察图象回答:当x为何值时,一次函数的值大于反比例函数的值?
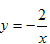
解:(1)
,B(1,-2);
(2)图“略”x<-2 或0<x<1。
(2)图“略”x<-2 或0<x<1。
练习册系列答案
相关题目