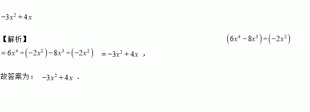
题目内容
计算: __________.
已知, 化简的结果是( )
A. B. C. D.
如图,在Rt△ABO中,斜边AB=1,若OC∥BA,∠AOC=36°,则( )
A. 点B到AO的距离为sin54° B. 点B到AO的距离为tan36°
C. 点A到OC的距离为sin36°sin54° D. 点A到OC的距离为cos36°sin54°
如图所示, , 平分,如果射线上的点满足是等腰三角形,那么的度数为__________.
已知是一个完全平方式,则的值是( ).
下列标志是轴对称图形的是( ).
已知|a﹣2|+(b+3)2=0,则ba的值是( )
A. ﹣6 B. 6 C. ﹣9 D. 9
将点A(-3,1)向右平移5个单位长度,再向上平移6个单位长度,可以得到对应点A′的坐标为_________.