题目内容
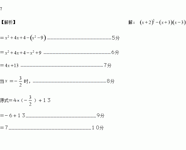
先化简,再求值:(x+2)2﹣(x+3)(x﹣3),其中.
已知:2a﹣7和a+4是某正数的平方根,b﹣7的立方根为﹣2.
(1)求:a、b的值;
(2)求a+b的算术平方根.
如图,ABC中,AB=AC=4,cosC=.
(1)动手操作:利用尺规作以AC为直径的⊙O,并标出⊙O与AB的交点D,与BC的交点E(保留作图痕迹,不写作法).
(2)综合应用:在你所作的圆中,求证: ;
(3)求△BDE的周长.
下列图形可以由一个图形经过平移变换得到的是( )
A. B. C. D.
如图,正方形ABCD的边长是4,∠DAC的角平分线交DC于点E,点P、Q分别是边AD和AE上的动点(两动点不重合).
(1)PQ+DQ的最小值是 .
(2)说出PQ+DQ取得最小值时,点P、Q的位置,并在图中画出;
(3)请对(2)中你所给的结论进行证明.
在一次数学测验中,某学习小组的六位同学的分数分别是54,85,92,73,61,85.这组数的平均数是_____,众数是_____,中位数是_____.
64的算术平方根与64的立方根的差是( )
A. ﹣12 B. ±8 C. ±4 D. 4
将抛物线y=x2+2x-1向上平移4个单位后,所得新抛物线的顶点坐标是 ______ .
已知:a与b互为相反数,c与d互为倒数,x的平方是16,y是最大的负整数.求: 的值.