题目内容
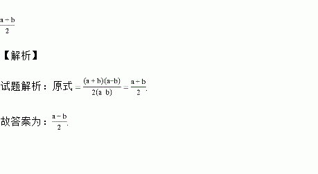
化简:=______________.
如图,大圆的面积为4π,大圆的两条直径互相垂直,则图中阴影部分的面积的和为_____.
下列图形都是由同样大小的五角星按一定的规律组成,其中第①个图形一共有2个五角星,第②个图形一共有8个五角星,第③个图形一共有18个五角星,,则第⑥个图形中五角星的个数为______.
下列运算中,正确的是( )
A. B. C. D.
约分 ______ ; ______ .
下列公式中是最简分式的是( )
下列各分式中,最简分式是( )
已知a、b两数在数轴上对应的点的位置如图所示,则化简代数式|a+b|-|a-2|+|b+2|的结果是( )
A. 2a+2b B. 2b+4
C. 2a-4 D. 0
如果将某一抛物线向右平移2个单位,再向上平移2个单位后所得新抛物线的表达式是y=2(x-1)2,那么原抛物线的表达式是( )
A. y=2(x-3)2-2 B. y=2(x-3)2+2
C. y=2(x+1)2-2 D. y=2(x+1)2+2