题目内容
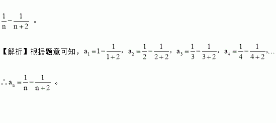
观察下列按顺序排列的等式:,试猜想第n个等式(n为正整数):an= .
如图,已知在△ABC中,∠BAC>90°,点D为BC的中点,点E在AC上,将△CDE沿DE折叠,使得点C恰好落在BA的延长线上的点F处,连结AD,则下列结论不一定正确的是( )
A. AE=EF B. AB=2DE
C. △ADF和△ADE的面积相等 D. △ADE和△FDE的面积相等
圆心角为120°,半径为2的扇形,则这个扇形的面积为_____.
下列方程是一元一次方程的是( )
A. x2=25 B. x﹣5=6 C. x﹣y=6 D. =2
如图,已知的三个顶点的坐标分别为、、.
(1)请直接写出点关于轴对称的点的坐标;
(2)将绕坐标原点逆时针旋转90°.画出图形,直接写出点的对应点的坐标;
(3)请直接写出:以为顶点的平行四边形的第四个顶点的坐标.
一个多边形的内角和是1800,这个多边形是____ 边形.
一个平行四边形的两条对角线的长分别为8和10,则这个平行四边形边长不可能是( )
A. 2 B. 5 C. 8 D. 10
点关于原点对称的点的坐标为__________.
如图,在矩形ABCD中,点E为CD的中点,点P为AD上一点,沿BP折叠△ABP,点A恰好与点E重合,则的值为___________.