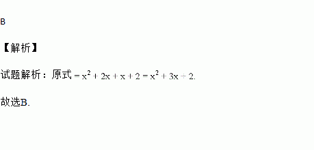
题目内容
计算(x+1)(x+2)的结果为 ( )
A. x2+2 B. x2+3x+2 C. x2+3x+3 D. x2+2x+2
如图,在△ABC中,AB=AC=10,以AB为直径的⊙O与BC交于点D,与AC交于点E,连OD交BE于点M,且MD=2,则BE的长为____.
如图,在矩形ABCD中,顺次连接矩形四边的中点得到四边形EFGH.若AB=8,AD=6,则四边形EFGH的周长等于__________.
解方程组
已知:⊙O为△ABC的外接圆,AB=AC,E是AB的中点,连OE,OE=,BC=8,则⊙O的半径为( )
A. 3 B. C. D. 5
已知抛物线y=a(x+3)(x﹣1)(a≠0),与x轴从左至右依次相交于A、B两点,与y轴相交于点C,经过点A的直线y=﹣x+b与抛物线的另一个交点为D.
(1)若点D的横坐标为2,求抛物线的函数解析式;
(2)若在第三象限内的抛物线上有点P,使得以A、B、P为顶点的三角形与△ABC相似,求点P的坐标;
(3)在(1)的条件下,设点E是线段AD上的一点(不含端点),连接BE.一动点Q从点B出发,沿线段BE以每秒1个单位的速度运动到点E,再沿线段ED以每秒个单位的速度运动到点D后停止,问当点E的坐标是多少时,点Q在整个运动过程中所用时间最少?
某学校为了解八年级学生的体能状况,从八年级学生中随机抽取部分学生进行八百米跑体能测试,测试结果分为A、B、C、D四个等级,请根据两幅统计图中的信息回答下列问题:
(1)求本次测试共调查了多少名学生?
(2)求本次测试结果为B等级的学生数,并补全条形统计图;
(3)若该中学八年级共有900名学生,请你估计八年级学生中体能测试结果为D等级的学生有多少人?
某中学足球队的18名队员的年龄情况如下表:
年龄(单位:岁)
14
15
16
17
18
人数
3
6
4
1
则这些队员年龄的众数和中位数分别是( )
A.15,15 B.15,15.5 C.15,16 D.16,15
金桥学校“科技体艺节”期间,八年级数学活动小组的任务是测量学校旗杆AB的高.如图1-3-32,他们在旗杆正前方台阶上的点C处,测得旗杆顶端A的仰角为45°,朝着旗杆的方向走到台阶下的点F处,测得旗杆顶端A的仰角为60°.已知升旗台的高度BE为1 m,点C距地面的高度CD为3 m,台阶的坡角为30°,且点E,F,D在同一直线上,求旗杆AB的高.(计算结果精确到0.1 m,参考数据:≈1.41,≈1.73)