题目内容
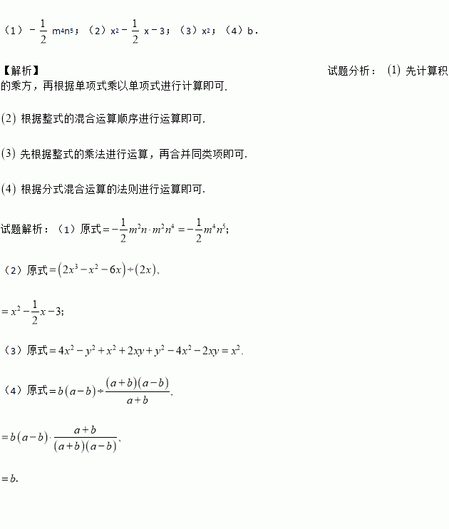
计算:
(1)﹣m2n•(﹣mn2)2
(2)(x2﹣2x)(2x+3)÷(2x)
(3)(2x+y)(2x﹣y)+(x+y)2﹣2(2x2+xy)
(4)(ab﹣b2)÷.
用不等号“>、<、≥、≤”填空:a2+1 0.
下列各式中,正确的是( )
A. 2<<3 B. 3<<4 C. 4<<5 D. 14<<16
下列说法: 的算术平方根是11; 的立方根是; 的平方根是; 实数和数轴上的点一一对应,其中错误的有
A. 0个 B. 1个 C. 2个 D. 3个
下列图形中, 和是同位角的是
A. B. C. D.
方程x2+2x﹣1=0的根可看出是函数y=x+2与y=的图象交点的横坐标,用此方法可推断方程x3+x﹣1=0的实根x所在范围为( )
A. ﹣ B. 0 C. D. 1
如图,⊙O的圆心在定角∠α(0°<α<180°)的角平分线上运动,且⊙O与∠α的两边相切,图中阴影部分的面积S关于⊙O的半径r(r>0)变化的函数图象大致是( )
已知在△ABC中,∠C=90°且△ABC不是等腰直角三角形,设sinB=n,当∠B是最小的内角时,n的取值范围是( )
如图,P为平行四边形ABCD内一点,过点P分别作AB、AD的平行线交平行四边形于E、F、G、H四点,若,则为 ( )
A. 0.5 B. 1 C. 1.5 D. 2