题目内容
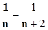
观察:,…,则 . (n=1,2,3,…)
解析
①我们都知道是一个无理数,且整数部分是2,则的小数部分为___________;②规定一种新运算“”,对于任意实数 _________________________; ③观察下列各式:…,则的末尾数字是___________;④已知=是的立方根,是的相反数,且=3-7,求的平方根.