题目内容
如图,在平面直角坐标系xOy中,A,B两点的坐标分别为(0,2),(-1,0).将线段AB沿x轴的正方向平移,若点B的对应点B′的坐标为(2,0),则点A的对应点A′的坐标为________.
如图,在△ABC中,AB=10,AC=8,则BC边上的中线AD的取值范围是( )
A. 8<AD<10 B. 2<AD<18 C. 1<AD<9 D. 无法确定
梦雪的爸爸用一段长为30米的破旧渔网围成一个三角形的园地,用于种植各类蔬菜.已知第一条边长为a米,第二条边长比第一条边长的2倍多2米.
(1)请用含a的式子表示第三条边长;
(2)求出a的取值范围.
一次函数y=x-2的图象经过点( )
A. (-2,0) B. (0,0) C. (0,2) D. (0,-2)
在由边长为1个单位长度的小正方形组成的网格中建立如图所示的平面直角坐标系,△ABC为格点三角形(顶点在网格线的交点处).
(1)把△ABC先向右平移4个单位长度,再向下平移5个单位长度得到△A1B1C1,画出△A1B1C1;
(2)若△ABC内有一点P(a,b),请直接写出按(1)中的平移变换后得到的对应点P1的坐标.
一辆客车从霍山开往合肥,设客车出发th后与合肥的距离为skm,则下列图象中能大致反映s与t之间函数关系的是( )
A. B. C. D.
平面直角坐标系中有5个点:(2,3),(1,0),(0,-2),(0,0),(-3,2),其中不属于任何象限的有( )
A. 1个 B. 2个 C. 3个 D. 4个
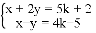
二元一次方程组的解满足不等式x<0,y>0,则k的取值范围是( )
A. -7<k< B. -7<k< C. -7<k< D. -3<k<
如图,△ABC中,BC的垂直平分线DP与∠BAC的角平分线相交于点D,垂足为点P,若∠BAC=84°,则∠BDC=_____.