题目内容
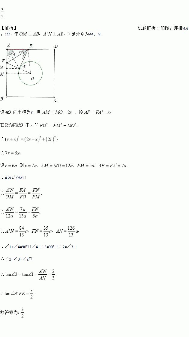
如图,已知正方形ABCD的边长是⊙O半径的4倍,圆心O是正方形ABCD的中心,将纸片按图示方式折叠,使EA'恰好与⊙O相切于点A',则tan∠A'FE的值为_____.
为了了解某水库养殖鱼的有关情况,从该水库多个不同位置捕捞出200条鱼,称得每条鱼的质量(单位:千克),并将所得数据分组,绘制了直方图
(1)根据直方图提供的信息,这组数据的中位数落在________范围内.
(2)估计数据落在1.00~1.15中的频率是________.
(3)将上面捕捞的200条鱼分别作一记号后再放回水库.几天后再从水库的多处不同的位置捕捞150条鱼,其中带有记号的鱼有10条,请根据这一情况估算该水库中鱼的总条数.
(2011•成都)近年来,随着交通网络的不断完善,我市近郊游持续升温.据统计,在今年“五一”期间,某风景区接待游览的人数约为20.3万人,这一数据用科学记数法表示为( )
A、20.3×104人 B、2.03×105人
C、2.03×104人 D、2.03×103人
有4张全新的扑克牌,其中黑桃、红桃各2张,它们的背面都一样,将它们洗匀后,背面朝上放到桌面上,从中任意摸出2张牌,摸出的花色不一样的概率是( )
A. B. C. D.
下列四个图案中,是中心对称图形的是( )
A. B. C. D.
如图1,等腰△ABC中,AC=BC,点O在AB边上,以O为圆心的圆经过点C,交AB边于点D,EF为⊙O的直径,EF⊥BC于点G,且D是的中点.
(1)求证:AC是⊙O的切线;
(2)如图2,延长CB交⊙O于点H,连接HD交OE于点P,连接CF,求证:CF=DO+OP;
(3)在(2)的条件下,连接CD,若tan∠HDC=,CG=4,求OP的长.
如图,在?ABCD中,∠C=43°,过点D作AD的垂线,交AB于点E,交CB的延长线于点F,则∠BEF的度数为_____.
随着近几年我市私家车日越增多,超速行驶成为引发交通事故的主要原因之一.某中学数学活动小组为开展“文明驾驶、关爱家人、关爱他人”的活动,设计了如下检测公路上行驶的汽车速度的实验:先在公路旁边选取一点P,在笔直的车道m上确定点O,使PO和m垂直,测得PO的长等于21米,在m上的同侧取点A、B,使∠PAO=30°,∠PBO=60°.
(1)求A、B之间的路程(保留根号);
(2)已知本路段对校车限速为12米/秒若测得某校车从A到B用了2秒,这辆校车是否超速?请说明理由.
将△ABC的三个顶点的纵坐标都乘以-1,横坐标不变,则所得图形与原图形的关系是( )
A. 关于x轴对称 B. 关于y轴对称
C. 关于原点对称 D. 将图形向x轴的负方向移动了1个单位