题目内容
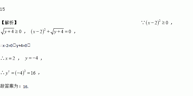
已知,则__________.
已知等腰三角形的两条边长分别为2和5,则它的周长为 .
如图,在△中, ,以为直径的⊙交于点, 于点.
求证: 是⊙的切线.
正六边形的半径为,则该正六边形的内切圆面积为( )
A. B. C. D.
已知是的算术平方根, 是最大的负整数.
()__________, __________.
()先化简,再求代数式的值.
将一个正方形剪个小正方形,第一次操作按照图所示,分割出个正方形,第二次操作按如图所示,分割出个正方形,第三次操作按如图所示,按照上述规律,则第次操作,正方形的个数为( )
在实数, , , , , 中,无理数的个数为( )
A. 个 B. 个 C. 个 D. 个
如图,△ABC为⊙O的内接三角形,AB=2,∠C=30,则⊙O的半径为( )
A. 1 B. 2 C. 3 D. 4
分解因式: =___________.