题目内容
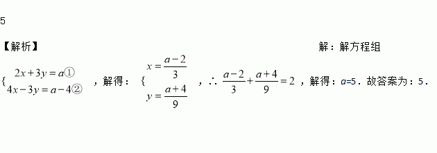
方程组的解x与y的和是2,则a=______.
菱形的一个内角为120°,平分这个内角的一条对角线长为12 cm,则菱形的周长为____________.
若a>b,则下列不等式中错误的是 ( )
A. a-1>b-1 B. a+1>b+1 C. 2a>2b D.
下列方程组中,是二元一次方程组的是( )
A. B. C. D.
为了抓住文化艺术节的商机,某商店决定购进A,B两种艺术节纪念品.若购进A种纪念品8件,B种纪念品3件,需要950元;若购进A种纪念品5件,B种纪念品6件,需要800元.求购进A,B两种纪念品每件各需多少元?
把方程2x+y-7=0 化成用x的代数式表示y的形式____________.
某班为奖励在校运会上取得较好成绩的运动员,花了400元钱购买甲、乙两种奖品共30件,其中甲种奖品每件16元,乙种奖品每件12元,求甲乙两种奖品各买多少件?该问题中,若设购买甲种奖品x件,乙种奖品y件,则方程组正确的是( )
A. B.
C. D.
若2x2a-5b+ya-3b=0是二元一次方程,则a=______,b=______.
如果y与x-2成反比例,且当x=3时,y=4,则函数解析式为________________.