题目内容
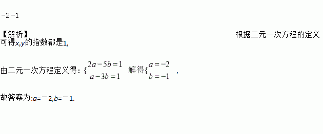
若2x2a-5b+ya-3b=0是二元一次方程,则a=______,b=______.
京秦高速公路正在紧张施工,现有大量沙石需要运输,某车队现有载重量为8吨的卡车5辆,载重量为10吨的卡车7辆。随着工程的进展,车队需要一次运输沙石165吨以上,为了完成任务,准备新增购这两种卡车共6辆(可以只增购一种),车队有多少种购买方案?
方程组的解x与y的和是2,则a=______.
小明家准备装修一套新住房,若甲、乙两个装饰公司,合做需6周完成,需工钱5.2万元;若甲公司单独做4周后,剩下的由乙公司来做,还需9周才能完成,需工钱4.8万元,若只选一个公司单独完成,从节约开支角度考虑,小明家是选甲公司、还是乙公司请你说明理由.
方程组经“消元”后可得到一个关于x、y的二元一次方程组为_______.
根据图中提供的信息,可知一个杯子的价格是( )
A. 51元 B. 35元 C. 8元 D. 7.5元
下面的不等式的解法有错误,按下列的要求完成解答:
解不等式:
【解析】去分母,得,-------①
去括号,得,----------②
合并,得 ,-------------------③
解得 .--------------------④
(1)以上的解法中错误的一步是(写出序号即可);
(2)改正错误的步骤,求出不等式的解,并画出数轴,在数轴上表示不等式的解集.
下列不等式组中,不是一元一次不等式组的是( )
(1) (2) (3) (4)
A. (3) B. (4) C. (1)、(3) D. (2)、(4)
计算的结果是( )
A. - B. C. - D.