题目内容
先化简,再求值:
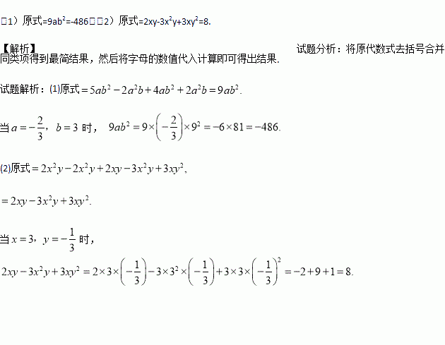
(1).其中
(2),其中x=3,y=-.
下列计算中,正确的是( )
A. B.
C. D.
下列条件,可以画出唯一一个圆的是( )
A. 已知圆心 B. 已知半径 C. 已知直径 D. 已知不在同一条直线上的三个点
如图,O是△ABC的∠ABC,∠ACB的平分线的交点,OD∥AB交BC于D,OE∥AC交BC于E,若△ODE的周长为10厘米,那么BC的长为( )
A. 8cm B. 9cm C. 11cm D. 10cm
某单位在五月份准备组织部分员工到北京旅游,现联系了甲、乙两家旅行社。两家旅行社报价均为2000元/人,两家旅行社同时都对10人以上的团队推出了优惠举措:甲旅行社对每位员工七五折优惠;而乙旅行社是免去一位带队管理员工的费用,其余员工八折优惠。
(1)如果设参加旅游的员工共有a(a>10)人,则甲旅行社的费用为 元;乙旅行社的费用为 元。(用含a的代数式表示,并化简)
(2)假如这个单位现组织包括管理员工在内的共20名员工到北京旅游,该单位选择哪一家旅行社比较优惠?请说明理由.
(3)如果计划在五月份外出旅游七天,设最中间的一天的日期为a,则这七天的日期之和为 .(用含a的代数式表示,并化简)
(4)假如这七天日期之和为63的倍数,则他们可能于五月几号出发?(写出所有符合条件的可能性,并写出简单的计算过程.)
五袋白糖以每袋50千克为标准,超过的记为正,不足的记为负,称量记录如下:+4.5,﹣4,+2.3,﹣3.5,+2.5.这五袋白糖总重量是 _____________千克.
据有关资料显示,2016年某区全年财政总收入820亿,用科学记数法表示为( )
A. B. C. D.
对于关于x的二次函数y=x2-2mx-3,有下列说法:① 它的图象与x轴有两个公共点; ② 如果当x≤1时y随x的增大而减小,则m=1; ③ 如果将它的图象向左平移3个单位后过原点,则m=-1; ④ 如果当x=5时的函数值与x=2012时的函数值相等,则当x=2017时的函数值为-3.其中正确的说法有______.(填序号)
小明在研究数学问题时发现一个有趣的现象:
(1)请你用不同的三位数(个位数字不能为0)再试试,写出你发现了什么有趣的现象.
(2)用你所学过的知识解释其中的道理.