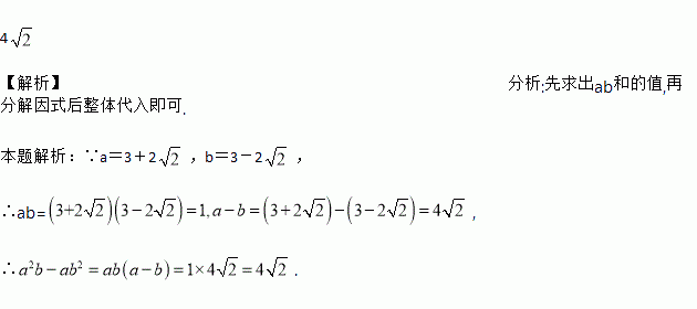
题目内容
已知a=3+2,b=3-2,求a2b-ab2的值.
在△ABC中,AB=AC,点D是BC的中点,点E在AD上.
(1)求证:BE=CE.
(2)如图,若BE的延长线交AC于点F,且BF⊥AC,垂足为F,∠BAC=45?,原题设其它条件不变,求证:△AEF≌△BCF.
下列命题中,是真命题的为( )
A. 如果a>b,那么|a|>|b| B. 一个角的补角大于这个角
C. 平方后等于4的数是2 D. 直角三角形的两个锐角互余
均匀地向如图的容器中注满水,能反映在注水过程中水面高度h随时间t变化的函数图象是( )
A. B. C. D.
先观察下列等式,再回答下列问题:
①;
②
③
(1)请你根据上面三个等式提供的信息,猜想的结果,并验证;
(2)请你按照上面各等式反映的规律,用含n的等式表示(n为正整数).
计算: =_________________。
下列各式中,正确的是( )
A. =-4 B. -=-4 C. =±4 D. =±4
已知△ABC的三边长a、b、c满足+|b-|+(c-2)2=0,则△ABC一定是________三角形.
某商场销售一种成本为每件30元的商品,销售过程中发现,每月销售量y(件)与销售单价x(元)之间的关系可近似看作一次函数y=-10x+600,商场销售该商品每月获得利润为w(元).
(1)求w与x之间的函数关系式;
(2)如果商场销售该商品每月想要获得2000元的利润,那么每月成本至少多少元?
(3)为了保护环境,政府部门要求用更加环保的新产品替代该商品,商场销售新产品,每月的销量与销售价格之间的关系与原产品的销售情况相同,新产品的成本每件32元,若新产品每月的销售量不低于200件时,政府部门给予每件4元的补贴,试求定价多少元时,每月销售新产品的利润最大?求出最大的利润。