题目内容
计算: =___________.
用配方法解一元二次方程,则方程可化为( )
A. B. C. D.
如图,O为矩形ABCD对角线的交点,DE∥AC,CE∥BD.
(1)求证:四边形OCED是菱形;
(2)若AB=3,BC=4,求四边形OCED的面积.
一元二次方程的根的情况是( )
A.有一个实数根 B.有两个相等的实数根
C.有两个不相等的实数根 D.没有实数根
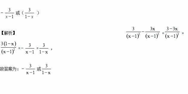
先化简,再求值: ,其中=.
计算,其结果是( )
A. 2 B. 3 C. x+2 D. 2x+6
某公司推出了一种高效环保型洗涤用品,年初上市后,公司经历了从亏损到盈利的过程,下面的二次函数图象(部分)刻画了该公司年初以来累积利润s(万元)与销售时间t(月)之间的关系(即前t个月的利润总和s与t之间的关系).
根据图象提供的信息,解答下列问题:
(1)由已知图象上的三点坐标,求累积利润s(万元)与时间t(月)之间的函数关系式;
(2)求截止到几月末公司累积利润可达到30万元;
(3)求第8个月公司所获利润为多少万元?
若有增根,则增根是_____ ,k= ______.