题目内容
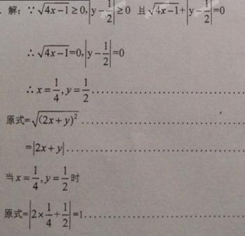
若,为实数,且满足.求的值.
如图,正方体的每个面上都写有一个实数,已知相对的两个面上的两数之和相等,若13、8、-4的对面的数分别是x、y、z,则2x-3y+z的值为____ _____.
雨伞的中截面如图所示,伞骨AB=AC,支撑杆OE=OF,AE=AB,AF=AC,当O沿AD滑动时,雨伞开闭,问雨伞开闭过程中,∠BAD与∠CAD有何关系?说明理由.
如图,把放在平面直角坐标系内,其中,BC=5,点A、B的坐标分别为(1,0),(4,0),将沿轴向右平移,当点C落在直线上时,线段AC扫过的面积为( )
A. B. 12 C.16 D.18
如图,已知直线交坐标轴分别于点A(,),B(,)两点,则关于的一元一次不等式的解集为__________.
如图,直线与轴交于点(,),直线与轴、轴分别交于、两点,并与直线相交于点,若.
(1)求点的坐标;
(2)求出四边形的面积;
(3)若为轴上一点,且为等腰三角形,求点的坐标.
为了解参加运动会的2000名运动员的年龄情况,从中抽查了100名运动员的年龄.就
这个问题来说,下面说法中正确的是( ).
A. 2000名运动员是总体 B. 每个运动员是个体
C. 100名运动员是抽取的一个样本 D. 抽取的100名运动员的年龄是样本
方程3x+1=7的根是