题目内容
已知不等式组无解,则的取值范围是( )
A. B. C. < D. >
如图,四边形ABCD中,对角线AC与BD相交于O,不能判定四边形ABCD是平行四边形的是( )
A. AB∥CD,AO=CO B. AB∥DC,∠ABC=∠ADC
C. AB=DC,AD=BC D. AB=DC,∠ABC=∠ADC
估计-1的值在( )
A. 0到1之间 B. 1到2之间 C. 2到3之间 D. 3到4之间
某天,小明和同学做了一个游戏,游戏规定:小明从点出发,沿直线前进后向左转,再沿直线前进后向左转……照这样走下去,小明第一次回到出发点,一共走了_________米.
已知方程,用含的代数式表示为________.
如图①,已知直线PQ∥MN,点A在直线PQ上,点C,D在直线MN上,连接AC,AD,∠PAC=50°,∠ADC=30°,AE平分∠PAD,CE平分∠ACD,AE与CE相交于点E.
(1)求∠AEC的度数;
(2)若将图①中的线段AD沿MN向右平移到A1D1如图②所示位置,此时A1E平分∠AA1D1,
CE平分∠ACD1,A1E与CE相交于E,∠PAC=50°,∠A1D1C=30°,求∠A1EC的度数;
(3)若将图①中的线段AD沿MN向左平移到A1D1如图③所示位置,其他条件与(2)相同,求此时∠A1EC的度数(直接写出结果).
计算:
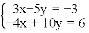
(1) (2)解方程组:
(3)解不等式组,并把解集在数轴上表示出来:
在实数,-, , ,3.14 中,无理数有( )
A. 1 个 B. 2 个 C. 3 个 D. 4 个
下列说法:①实数和数轴上的点是一一对应的;②无理数是开方开不尽的数;③负数没有立方根;④16的平方根是±4,用式子表示是=±4;⑤某数的绝对值,相反数,算术平方根都是它本身,则这个数是0,其中错误的是( )
A. 0个 B. 1个 C. 2个 D. 3个