题目内容
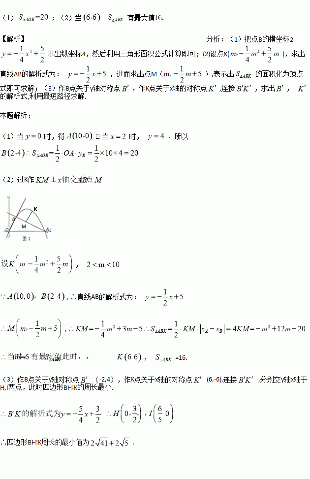
如图,在平面直角坐标系xOy中,拋物线
与x轴交于O,A,点B在抛物线上且横坐标为2.
(1)如图1,△AOB的面积是多少?
(2)如图1,在线段AB上方的抛物线上有一点K,当△ABK的面积最大时,求点K的坐标及△ABK的面积;
(3)在(2)的条件下,点H 在y轴上运动,点I在x轴上运动. 则当四边形BHIK周长最小时,求出H、I的坐标以及四边形BHIK周长的最小值.
![]()
练习册系列答案
相关题目
题目内容
如图,在平面直角坐标系xOy中,拋物线
与x轴交于O,A,点B在抛物线上且横坐标为2.
(1)如图1,△AOB的面积是多少?
(2)如图1,在线段AB上方的抛物线上有一点K,当△ABK的面积最大时,求点K的坐标及△ABK的面积;
(3)在(2)的条件下,点H 在y轴上运动,点I在x轴上运动. 则当四边形BHIK周长最小时,求出H、I的坐标以及四边形BHIK周长的最小值.
![]()