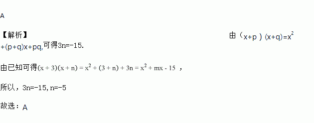
题目内容
若,则n的值为( )
A. -5 B. 5 C. -2 D. 2
某市共有一中、二中、三中等3所高中,有一天所有高二学生参加了一次数学测试,阅卷后老师们对第10题进行了分析,把每个学生的解答情况归结为下列四类情况之一:A(概念错误),B(计算错误),C(基本正确),D(完全正确).各校出现这四类情况的人数占本校高二学生数的百分比见下面的条形统计图:
已知一中高二学生有400名,这三所学校之问高二学生人数的比例见扇形统计图.
(1)求全市高二学生总数;
(2)求全市解答完全正确的高二学生数占高二学生总数的百分比;
(3)请你对三中高二数学老师提一个值得关注的教学建议,并说明理由.
下列说法中正确的是( )
A. 有一个角是直角的四边形是矩形
B. 两条对角线互相垂直的四边形是菱形
C. 两条对角线互相垂直平分的四边形是正方形
D. 两条对角线相等的菱形是正方形
________________
计算_________;用小数表示1.6×_______________。
下列计算不正确的是( )
A. B.
C. D. (-3)7×(-3)6=-313
如图,在△ABC中,点D,E分别是AB,AC的中点,连接DE并延长到点F,使EF=ED,连接CF.
(1)四边形DBCF是平行四边形吗?说明理由;
(2)DE与BC有什么样的位置关系和数量关系?说明理由.
若正多边形的一个外角是45°,则该正多边形的边数是_________.
如图,AB、CD相交于点O,试添加一个条件使得△AOD∽△COB,你添加的条件是________.(只需写一个)