题目内容
某品牌专卖店准备采购数量相同的男女情侣衬衫,并以相同的销售价x(元)进行销售,男衬衫的进价为30元,当定价为50元时,月销售量为120件,售价不超过100元时,价格每上涨1元,销量减少1件;售价超过100元时,超过100元的部分,每上涨1元,销量减少2件。受投放量限制衬衫公司要求该专卖店每种衬衫每月订购件数不得低于30件且不得超过120件。该品牌专卖店销售男衬衫利润为y1 (元),销售女衬衫的月利润为y2(元),且y2与x间的函数关系式为
,销售这两种衬衫的月利润W(元)是y1与y2的和。
(1)求自变量x取值范围;
(2)求y1与x间的函数关系式;
(3)求出W关于x的函数关系式;
(4)该专卖店应该如何采购,如何定价,才能使每月获得的总收益W最大?说明理由。
解:(1)由题意知120-(x-50)≤120得x≥50,
而当x=100时,120-(x-50)=70,
再由70-2(x-100)≥30得x≤120,
故自变量取值范围为50≤x≤120;
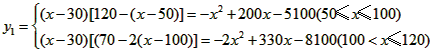
(2)
;
(3)
;
(4)配方得:
当50≤x≤80时,W随x增大而增大,所以x=80时,
=5300;
当80<x<100时,x=95,
=5525;
当100<x<120时,W随x增大而减小,而x=100时,W=5500 ,所以x<5500;
综上所述,当x=95时,W最大且
=5525,故专卖店经理应该将两种衬衫定价为95元,进货数量确定为120-(95-50)=75件时,专卖店月获利最大且为5525元。
而当x=100时,120-(x-50)=70,
再由70-2(x-100)≥30得x≤120,
故自变量取值范围为50≤x≤120;
(2)
(3)
(4)配方得:
当50≤x≤80时,W随x增大而增大,所以x=80时,
当80<x<100时,x=95,
当100<x<120时,W随x增大而减小,而x=100时,W=5500 ,所以x<5500;
综上所述,当x=95时,W最大且
练习册系列答案
相关题目