题目内容
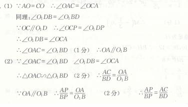
如图,已知⊙与⊙外离,与分别是⊙与⊙的半径,∥.直线交于点,交⊙于点,交⊙于点.
求证:(1)∥;(2)
已知正比例函数y=kx(k≠0)的函数值y随x的增大而减小,则一次函数y=kx+k 的
图像经过的象限为 ( )
A.二、三、四 B.一、二、四 C.一、三、四 D.一、二、三
据统计,某市第一季度期间,地面公交日常客运量与轨道交通日常客运量总和为1690万人次,地面公交日常客运量比轨道交通日常客运量的4倍少60万人次,在此期间,地面公交和轨道交通日常客运量各为多少万人次?
在中,,如果,那么的值为
如图,在中,,,.将绕着点旋转,点、的对应点分别是、,那么的值为
下列各题的计算,正确的是( )
A. B.
C. D.
若,则的值为( )
A. B.-2 C. D.
已知 ,求的立方根.
代数式- 的系数是________次数是_________